首页
>
政务公开
>
法定主动公开内容
>
公共企事业信息公开
>
金融领域
>
中国人民银行临夏州分行
>
重点信息
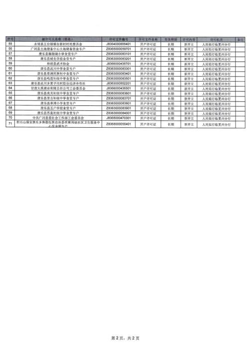
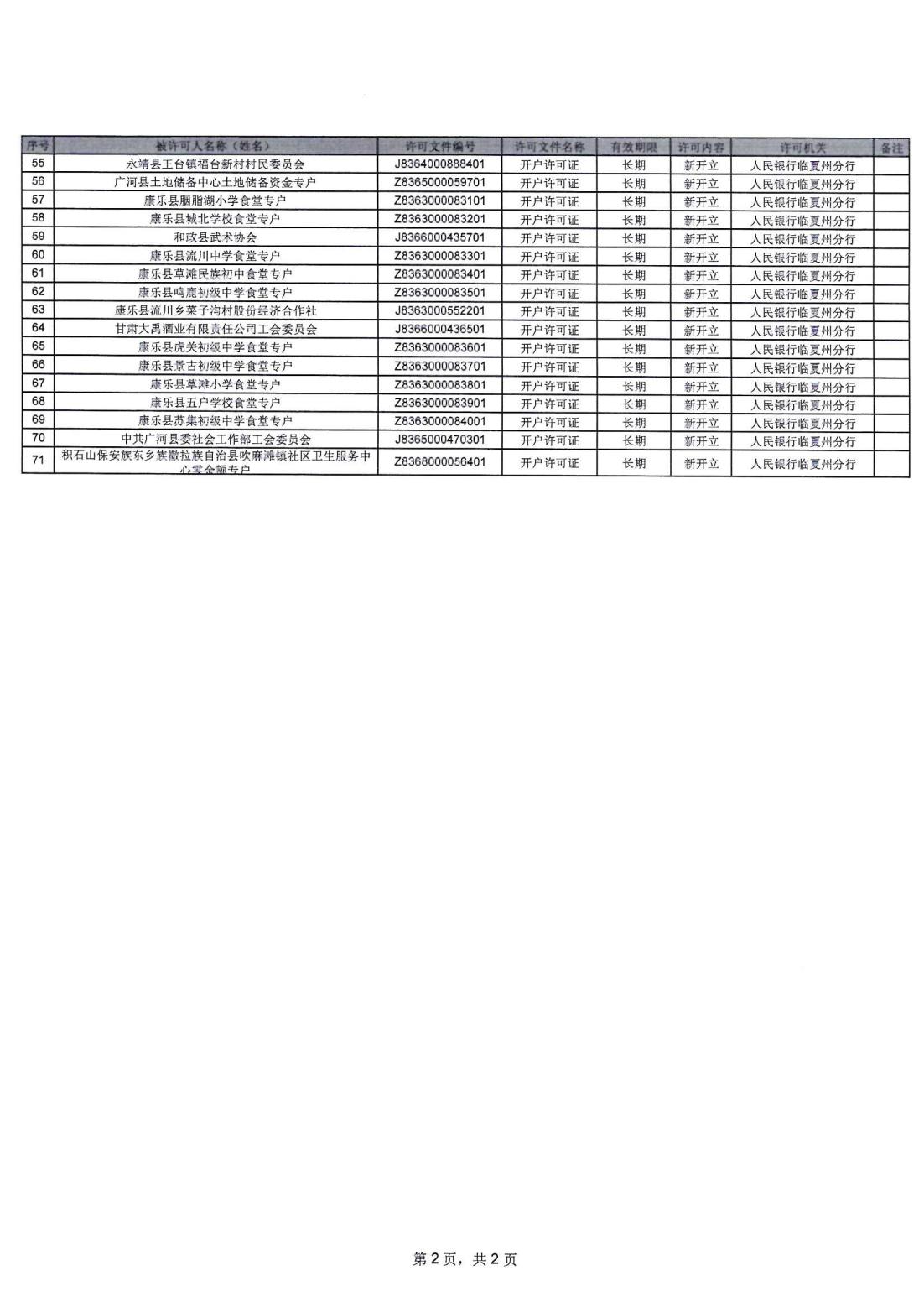
人民银行临夏州分行行政许可信息公示表(2024.12.16-2024.12.20)
来源:中国人民银行临夏州分行
发布时间:2025-01-26
字号:
大
中
小
收藏
关闭
打印
纠错
X
温馨提示:
临夏州人民政府门户网站实行统一身份认证,州政府网站身份认证工作依托甘肃省政务服务网完成。网民注册成功,并通过身份认证后,可在全省政府网站实现“一网通办”。
身份认证